蛋白激酶将磷酸基团从ATP转移到蛋白多肽底物上的丝氨酸、苏氨酸或酪氨酸残基,直接影响目标的活性和功能。放射性研究表明,真核细胞中大约30%的蛋白经过磷酸化修饰。这一关键的翻译后修饰调控了广泛的细胞活性,包括细胞周期 、分化、代谢和神经元通讯。此外,异常的磷酸化事件与许多疾病状态相关。在评估磷酸化时,选择的方法可能会有所不同,这取决于多个因素,包括提出的具体问题以及特殊仪器或试剂的可用性。如何检测蛋白磷酸化,本文简要介绍了几种常用方法,并提出了每种方法的优点和缺点。
激酶活性分析
蛋白激酶通常是多个信号转导网络的常见组分,它们影响了众多负责生物反应的下游效应物,因此,评估某个特定激酶的活性可能为平行通路 提供宝贵信息。生物学样品中的激酶活性通常是在体外测定的,在ATP的存在下将免疫沉淀的激酶与外源底物共同孵育。之后通过一些报告系统来评估特定激酶对底物的磷酸化,包括显色、放射性或荧光检测。目前,R&D Systems还提供非放射性的Universal Kinase Activity Kit,能够定量任何可产生ADP的激酶的活性。尽管我们能够获得有关特定激酶行为的信息,但评估细胞提取物中的酶活性仅仅揭开了信号通路的冰山一角。我们对蛋白如何被修饰还知之甚少,且体外活性分析也不能说明内源磷酸酶活性的潜在作用。磷酸化蛋白的直接检测可能为细胞如何应对外界刺激提供更详细的分析,因为磷酸化肽段的鉴定为蛋白的表达和功能状态提供信息。

磷酸化特异抗体的开发
直接测定蛋白磷酸化的一种经典方法是将整个细胞与放射性标记的32P-磷酸盐共同孵育,获得细胞提取物,通过SDS-PAGE分离,并曝光在胶片上。这种繁琐的方法需要多次几小时的孵育,且使用放射性同位素。其他传统方法包括2D凝胶电泳 ,这种技术假定磷酸化会改变蛋白的迁移率和等电点。
鉴于这些方法很费力,磷酸化依赖抗体的开发受到研究人员的极大欢迎。1981年,第一个有记录的磷酸化抗体在兔子中产生,使用的是钥孔虫戚血蓝蛋白(KLH)的苯甲酰磷酸结合物。这一抗体广泛地识别了包含磷酸酪氨酸的蛋白。十年后,利用合成的磷酸化肽段来免疫兔子,开发出多个磷酸化状态特异抗体,这些磷酸化肽段代表了目标蛋白磷酸化位点周围的氨基酸序列。之后将免疫血清上样到肽段亲和柱中,产生高度特异的免疫试剂 。磷酸化特异抗体的出现为传统方法的改进以及新的免疫分析技术的开发打开了大门。在任何技术中使用磷酸化特异抗体的忠告是,成功的检测依赖于抗体与目的磷酸化蛋白的特异性和亲和力。

western blot
Western blot是评估蛋白磷酸化状态的最常用方法,大部分细胞生物学实验室都拥有开展这些实验的设备。利用SDS-PAGE分离生物样品,随后转移到膜上(通常是PVDF或尼龙膜),之后利用磷酸化特异的抗体来鉴定目的蛋白。典型的Western blot实验步骤避免了使用放射性同位素时的危险品和废物处理要求。许多磷酸化特异抗体十分灵敏,可轻松检测常规样品(如10-30 ?g细胞提取物)中的磷酸化蛋白。由于测得的磷酸化蛋白水平可能随处理或凝胶上样误差而变化,研究人员常常利用一个抗体来检测同源蛋白的总水平(而不考虑磷酸化状态),以确定磷酸化组分相对于总组分的比例,并充当上样内对照。化学发光和显色法都很常用,而分子量marker常用来提供蛋白分子量的信息。
酶联免疫吸附分析(ELISA)
ELISA已逐渐成为测定蛋白磷酸化的一种有力方法。ELISA的定量能力优于Western blot,且在调节激酶活性和功能的研究中表现出巨大的作用。这种微孔板形式的分析一般利用目的蛋白特异的捕获抗体,与磷酸化状态无关。随后让目的蛋白结合在抗体包被的分析板中,目的蛋白可以是纯的,也可以是复杂的异质样品(如细胞裂解液)中的一个组分。加入待分析的磷酸化位点特异的检测抗体。这些分析通常设计为显色或荧光检测。产生的信号强度与最初样品中存在的磷酸化蛋白的浓度成正比。与更为传统的免疫印迹相比,磷酸化特异的ELISA技术具有一些优点。首先,利用经过校准的标准品,可轻松定量结果。其次,以三明治形式使用目的蛋白特异的两个抗体,带来了高的特异性。第三,ELISA的灵敏度更高允许使用更少量样品,检测低丰度的蛋白。最后,微孔板形式的通量比传统的Western blotting要高得多。ELISA通常带来了激酶活性的间接测定。不过,另一类ELISA技术使用固定化的捕获抗体、底物和磷酸化底物的检测方法,带来激酶活性的更直接测定。

基于细胞的ELISA
尽管体外生物化学激酶分析(如典型的三明治ELISA)常用于假说检验和药物筛选,但它们无法复制细胞内的环境。分析完整细胞内的蛋白磷酸化也许能更准确地代表特定信号通路网络的状态。一些免疫分析最近被开发出来,能够在完整细胞的背景下测定蛋白磷酸化。细胞在同一个孔中被刺激、固定和阻断。使用磷酸化特异抗体,利用荧光或显色检测系统来评估磷酸化状态。此外,在微孔板的同一个孔中同时检测磷酸化蛋白和总蛋白。因此,来自目的蛋白的信号可通过第二种蛋白来标准化,校正各孔之间的差异,实现磷酸化蛋白水平的准确评估,并比较多个样品,与传统免疫印迹中使用磷酸化特异和总蛋白抗体相似。这些分析绕过了制备细胞裂解液的需要,因此更适合高通量分析。
细胞内流式细胞术和ICC/IHC
传统的细胞内流式细胞术和免疫细胞化学/免疫组织化学(ICC/IHC)是检测磷酸化事件的有力工具。流式细胞仪利用激光来激发用于抗体检测的荧光染料。在评估同一个细胞中的多个蛋白时,必须精心选择滤光片组合和荧光染料,其光谱不能重叠。流式细胞术很有优势,因其实现了快速、定量的单细胞分析。通过细胞表面标志的分型可检测异质群体中特定细胞类型的蛋白,而无需在物理上分离细胞。通过这种方法可分析稀有的细胞群体,而不用担心细胞损失或细胞分选过程中可能发生的蛋白表达变化。
ICC通常指的是利用显微镜对培养细胞中的蛋白进行检测,而IHC指的是对完整组织切片中的蛋白进行检测。与流式细胞术相似,这些技术实现了细胞或组织内多个蛋白的评估,只是要足够重视,避免荧光光谱或颜色的重叠。荧光和显色检测技术都经常使用。与监控磷酸化的其他形式不同,ICC通常是确定细胞内定位的首选方法。流式细胞术和ICC/IHC都需要高亲和力、高特异性的抗体、阻断步骤、对照和抗体滴定,以避免因非特异性结合而带来的不明确结果。
通过流式细胞术和ICC来检测磷酸化蛋白要求蛋白是稳定的,且抗体能够接近。细胞通常经过刺激,并由甲醛或多聚甲醛固定,以交联磷酸化蛋白,使其稳定,便于分析。固定后的细胞必须经过透化处理,让磷酸化特异抗体可进入细胞。对于不同的亚细胞定位,通常使用不同的透化技术。温和的去垢剂可实现细胞质蛋白的检测,而抗体要想接近核蛋白,可能需要使用酒精。酒精透化也可增强磷酸化特异抗体的磷酸化蛋白检测,因酒精具有变性的特点。
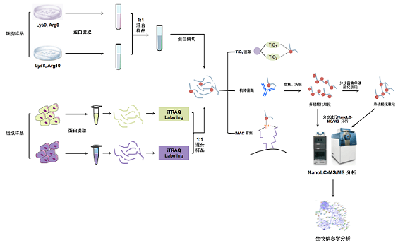
质谱
复杂的生物样品(如细胞裂解液)中蛋白质磷酸化的全面评估(磷酸化蛋白质组学)对于了解基于磷酸化的信号网络很重要。复杂的蛋白混合物中大规模的磷酸化蛋白分析包括磷酸化蛋白和磷酸化肽段的鉴定,以及磷酸化残基的测序。质谱(MS)技术是完成这些任务的有用工具。尽管质谱在鉴定单个蛋白上具有出色的灵敏度和分辨率,但对于磷酸化蛋白的分析,还有一些固有的困难。首先,磷酸化肽段的信号通常较弱,因为它们带负电荷,而电喷雾质谱在正电模式下作用,因此电离效果不好。其次,在大量非磷酸化蛋白的高背景之下,很难观察到低丰度目的蛋白的信号。为了克服这些缺点,人们已经开发出一些富集策略,包括固定化金属亲和层析(IMAC)、磷酸化特异抗体富集、化学修饰法(如磷酸化丝氨酸和苏氨酸的β-消去反应),以及用生物素化的基团取代磷酸基团。

多个分析物图谱分析
质谱技术如碰撞诱导解离(CID)和电子转移解离(ETD),提供了肽段序列和翻译后修饰(磷酸化)的全面平行分析。这些技术相当费力,而当特定通路作为主要研究目标时,可能不需要全面的磷酸化分析策略。这导致一些同时测定多个分析物的蛋白磷酸化的新方法被开发出来。总的来说,这些方法涉及到磷酸化特异抗体的使用,包括基于微孔板、磁珠和膜,基于磁珠和基于膜的检测形式。这些分析最明显的好处在于通量能力被大大提高,避免了运行多个Western blot或传统的ELISA分析的需要。这些技术也能够提供更多的数据,而所需的样品量极少。相应地,蛋白图谱分析通常被认为灵敏度不及传统的对应技术,因潜在的抗体交叉反应性。