公司动态

1,4,5-三磷酸肌醇(IP3)|ELISA指标速递

2024-12-06

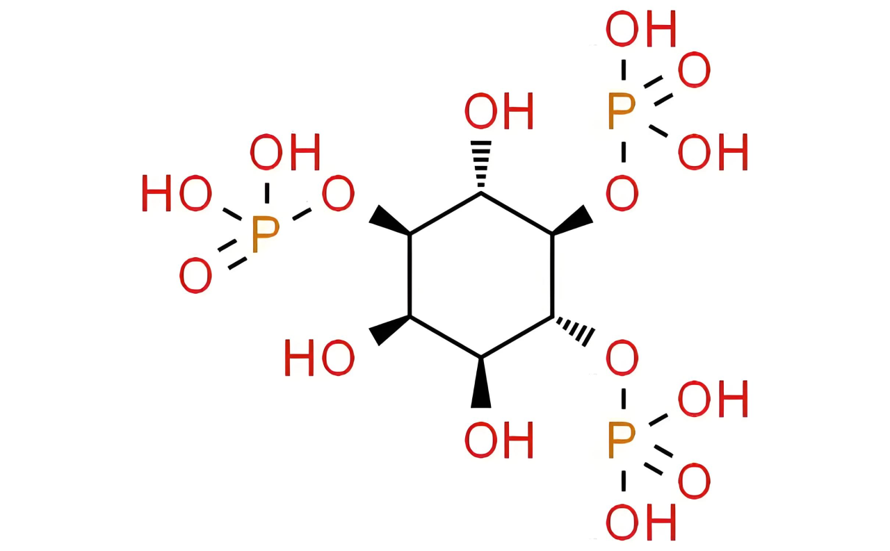
1,4,5-三磷酸肌醇(IP3),也被称为肌醇1,4,5-三磷酸或inositol 1,4,5-trisphosphate,是一种在生物体内具有重要信号转导功能的分子。

IP3是由磷脂酰肌醇-4,5-二磷酸(PIP2)在磷脂酶C(PLC)的作用下水解生成的,是细胞信号转导中的第二信使分子。IP3由一个带三个羟基(OH)、三个磷酸盐(PO4)2-基的中央六碳环组成,具有水溶性,可以从质膜扩散到胞质溶胶,分子量为420.10。根据磷酸基团位置不同,三磷酸肌醇存在多种同分异构体。


生成与代谢

生成:当细胞外的信号分子(如激素)与细胞膜上的G蛋白偶联受体结合后,会激活膜上的Gq蛋白,进而激活磷脂酶C(PLC)。PLC将膜上的PIP2分解为IP3和甘油二酯(DAG)。此外,如果受体酪氨酸激酶(RTK)参与激活该通路,PLC-γ也会被激活并分解PIP2生成IP3和DAG。

代谢:IP3在细胞内的转换率很高,在降解过程中会先后被磷酸酯酶作用生成肌醇二磷酸、肌醇一磷酸和肌醇。同时,它也可以被磷酸化成为肌醇1,3,4,5-四磷酸,参与细胞外钙离子内流的调节。


信号转导与功能

信号转导:IP3作为第二信使,在细胞信号转导中发挥着关键作用。IP3的主要受体是位于内质网(ER)或肌细胞中的肌浆网(SR)上的三磷酸肌醇受体(Ins(1,4,5)P3R),这是一种配体门控Ca2+通道。当IP3与其受体结合后,触发Ca2+通道的开放,释放Ca2+进入细胞质,从而激活各种钙调节的细胞内信号。这一过程增加了细胞质内的Ca2+浓度。

调节细胞反应:IP3通过动员储存器官中的Ca2+并调节细胞增殖以及其他需要游离钙的细胞反应,如糖原裂解、胞吐现象等。IP3在多种细胞中发挥着重要作用,包括平滑肌细胞、神经细胞等。在平滑肌细胞中,细胞质Ca2+浓度的增加导致肌细胞的收缩;在神经系统中,IP3也充当第二信使,特别是在小脑中,其受体在Purkinje细胞的可塑性诱导中发挥重要作用。


与疾病的关系

亨廷顿病:发生在细胞质蛋白亨廷顿(Htt)的N-末端区域额外添加了35个谷氨酰胺残基时。这种修改后的Htt称为Httexp,它使得类型1的IP3受体对IP3更为敏感,从而导致从内质网释放过多的Ca2+,使细胞质和线粒体中Ca2+浓度增加,这种增加被认为是中型多棘神经元降解的原因。

阿尔茨海默病:自1994年提出阿尔茨海默病的Ca2+假说以来,多项研究表明Ca2+信号紊乱是阿尔茨海默病的主要原因。家族性阿尔茨海默病与早老素1(PS1)、早老素2(PS2)和淀粉样前体蛋白(APP)基因的突变密切相关,这些基因的突变形式都被发现引起内质网中Ca2+信号的异常。已经证明PS1的突变在几种动物模型中增加了IP3介导的内质网Ca2+释放,因此IP3与阿尔茨海默病之间存在一定的关联

目前采用酶联免疫吸附(ELISA)法检测其含量变化,该方法利用抗原与抗体的特异性结合反应,通过测量反应产物的吸光度或荧光强度来定量检测IP3的含量。此外,还有其他方法如放射性同位素标记法、质谱法等也可用于IP3的检测。

1,4,5-三磷酸肌醇(IP3)作为一种重要的细胞信号转导分子,在生物体内发挥着多种生理功能。同时,它也与某些疾病的发生和发展密切相关。因此,深入研究IP3的生理功能和作用机制对于理解生命过程和疾病治疗具有重要意义。



在线客服